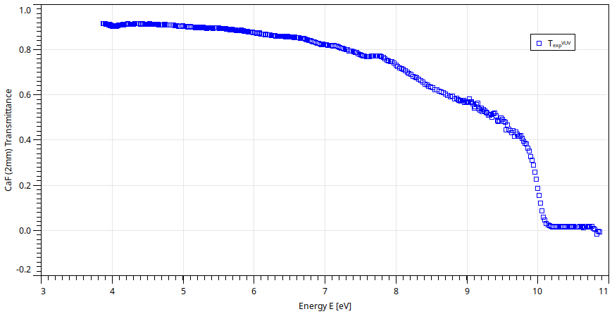
Vacuum ultraviolet spectrometer McPherson VUVAS 1000

The VUV spectrometer allows you to measure reflectance, transmittance and scattering of light in the vacuum ultraviolet spectral range. It allows you to extend optical characterization into areas that are inaccessible to conventional optical instruments. Conventional optical instruments are mostly limited to a wavelength of 190 nm (6.5 eV), which corresponds to the transmittance of fused silica optical elements and the transmittance of the atmosphere.

Specification

  • Single-channel vacuum spectrophotometer: 115-320 nm (3.88-10.78 eV)
  • Transmittance, reflectance or scattering measurement
  • Detector on goniometer: 10°-180°
  • Working pressure: 10-3 Pa
  • Various sample holders: standard 1 inch

Gallery

Publications

Franta, D.; Vohánka, J.; Dvořák, J.; Franta, P.; Ohlídal, I.; Klapetek, P.; Březina, J.; Škoda, D., 2025: Wide spectral range optical characterization of tantalum pentoxide (Ta 2 O 5 ) films by the universal dispersion model. OPTICAL MATERIALS EXPRESS 15 (4), doi: 10.1364/OME.550708 (WOOLLAM-MIR, WOOLLAM-VIS, VUVAS)

Vida, J., 2019: Deposition of ternary oxides with titanium and characterization of their optical and electrical properties. MASTER'S THESIS, p. 1 - 50 (KRATOS-XPS, ALD-FIJI, WOOLLAM-VIS, VUVAS, RIGAKU3, EVAPORATOR, SUSS-MA8, SUMMIT)

Ondracka, P; Holec, D; Necas, D; Kedronova, E; Elisabeth, S; Goullet, A; Zajickova, L, 2017: Optical properties of TixSi1-xO2 solid solutions. PHYSICAL REVIEW B 95 (19), doi: 10.1103/PhysRevB.95.195163 (VUVAS, RIGAKU3)

Details

Type of access
Full-service (paid), Self-service
Research area
Characterization
Guarantor
Franta, Daniel
Site
CEITECNANO
Location
CEITEC Nano - C1.21